Pri2012_RRmese
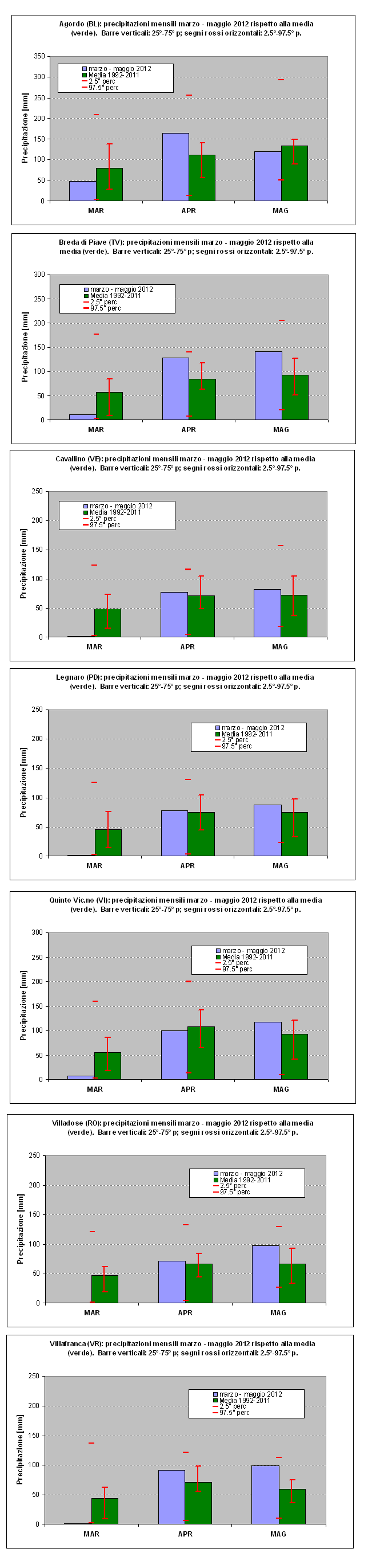
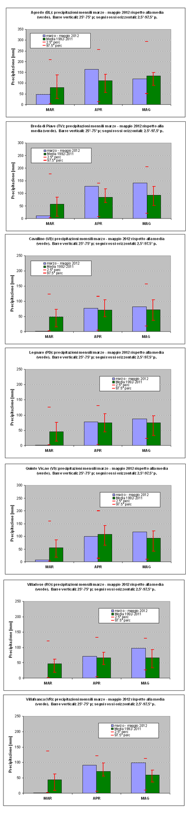
Istogrammi di precipitazione mensile in alcune stazioni rappresentative dei capoluoghi di provincia nel periodo primaverile 2012.

Istogrammi di precipitazione mensile in alcune stazioni rappresentative dei capoluoghi di provincia nel periodo primaverile 2012.
